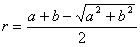
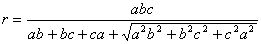
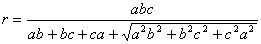
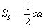
內切球半徑公式
初中所學習的三角形內切圓半徑公式,其推導過程是利用等面積法。
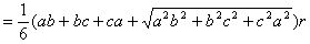
類比等面積法我們容易聯想到等體積法,既而推導出三棱錐的內切球半徑公式:

























瀏覽次數:
發布日期:
2024-10-28 18:26:24
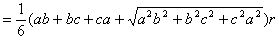
內切球半徑公式
初中所學習的三角形內切圓半徑公式,其推導過程是利用等面積法。
類比等面積法我們容易聯想到等體積法,既而推導出三棱錐的內切球半徑公式: